Nicht alle Kristalle lassen sich zum Ferromagnetismus zwingen

Bei 25,8 Tesla findet in dem Urankristall ein Phasenübergang statt und ein komplexes magnetisches Muster etabliert sich.

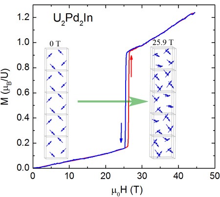
Bei 25,8 Tesla findet in dem Urankristall ein Phasenübergang statt und ein komplexes magnetisches Muster etabliert sich. © HZB

Mit einem äußeren Magnetfeld lassen sich normalerweise die winzigen magnetischen Momente in Festkörpern entlang des Außenfeldes ausrichten – so dass die Probe schließlich ferromagnetisch wird. Doch das trifft nicht auf jedes Material zu. Ein Team hat nun Kristalle aus einer Uranverbindung unter extrem hohen Magnetfeldern mit Neutronen untersucht und ein deutlich komplexeres Verhalten beobachtet. Die Experimente fanden am Hochfeldmagneten an der Neutronenquelle BER II des HZB statt, der ein konstantes Magnetfeld von bis zu 26 Tesla erzeugt. Dies ist etwa 500.000mal stärker als das Erdmagnetfeld. Weitere Experimente mit gepulsten Magnetfeldern bis zu 45 Tesla wurden am Helmholtz-Zentrum Dresden-Rossendorf (HZDR) durchgeführt. 

Wenn das Magnetfeld hoch genug wird und eine gewisse kritische Schwelle überschreitet, kann jedes Material ferromagnetisch werden – diese Annahme galt bislang als richtig. Doch sie ist es nicht. Dies zeigen nun Experimente am Hochfeldmagneten der Berliner Neutronenquelle BER II und mit gepulsten Magnetfeldern am HZDR. Untersucht wurden Kristalle aus U2Pd2In, die eine besondere Klasse der Festkörper bilden (Shastry-Sutherland-Systeme). Die Wechselwirkungen zwischen den Uran-Atomen sind hier recht komplex. Dies liegt vor allem an den ausgedehnten 5f-Orbitalen der äußersten Elektronen des Urans im Festkörper. Diese 5f-Elektronen sind auch Träger der magnetischen Momente im Material.

Der Befund bei steigendem Magnetfeld: Oberhalb von 25,8 Tesla richten sich die magnetischen Momente nicht weiter entlang des Magnetfeldes aus, sondern formieren sich zu einer neuen Ordnung. Dadurch entsteht eine Überstruktur im Kristall. Das magnetische Muster aus 80 Spins wiederholt sich erst nach zwanzig kristallographischen Einheitszellen. Ein Grund für dieses Verhalten könnte darin liegen, dass verschiedene, starke Wechselwirkungen im Gitter gegeneinander arbeiten und sich ihr Kräfteverhältnis mit dem Feld verschiebt. „Unsere Ergebnisse sind aus zwei Gründen wichtig“, sagt Dr. Karel Prokes vom HZB. „Erstens zeigen sie, dass nicht alle Materialien eine ferromagnetische Ordnung oberhalb eines kritischen Feld bilden und zweitens erlauben sie einen Einblick in die komplexen Wechselwirkungen zwischen den Uran-Atomen und können dadurch helfen, genauere Theorien über 5f-Elektronensysteme zu entwickeln“.

Phys. Rev. Research (2020): Noncollinear magnetic structure in U2Pd2In at high magnetic fields.

K. Prokeš, M. Bartkowiak, D. I. Gorbunov, O. Prokhnenko, O. Rivin, and P. Smeibidl

DOI: 10.1103/PhysRevResearch.2.013137

arö

  • Link kopieren

Das könnte Sie auch interessieren

  • Was vibrierende Moleküle über die Zellbiologie verraten
    Science Highlight
    16.10.2025
    Was vibrierende Moleküle über die Zellbiologie verraten
    Mit Infrarot-Vibrationsspektroskopie an BESSY II lassen sich hochaufgelöste Karten von Molekülen in lebenden Zellen und Zellorganellen in ihrer natürlichen wässrigen Umgebung erstellen, zeigt eine neue Studie von einem Team aus HZB und Humboldt-Universität zu Berlin. Die Nano-IR-Spektroskopie mit SNOM an der IRIS-Beamline eignet sich, um winzige biologische Proben zu untersuchen und Infrarotbilder der Molekülschwingungen mit Nanometer-Auflösung zu erzeugen. Es ist sogar möglich, 3D-Informationen, also Infrarot-Tomogramme, aufzuzeichnen. Um das Verfahren zu testen, hat das Team Fibroblasten auf einer hochtransparenten SiC-Membran gezüchtet und in vivo untersucht. Die Methode ermöglicht neue Einblicke in die Zellbiologie.
  • Neue Methode wirft Licht auf Nanomaterialien: Wie MXene wirklich funktionieren
    Science Highlight
    01.10.2025
    Neue Methode wirft Licht auf Nanomaterialien: Wie MXene wirklich funktionieren
    Forschende haben erstmals die tatsächlichen Eigenschaften einzelner MXene-Flocken gemessen – einem spannenden neuen Nanomaterial mit Potenzial für bessere Batterien, flexible Elektronik und Geräte für saubere Energie. Mithilfe einer neuartigen lichtbasierten Technik – der spektroskopischen Mikroellipsometrie – haben sie herausgefunden, wie sich MXene auf der Ebene einzelner Flocken verhalten und dabei Veränderungen in der Leitfähigkeit und der optischen Reaktion aufgedeckt, die zuvor bei der Untersuchung gestapelter Schichten verborgen geblieben waren. Dieser Durchbruch liefert grundlegendes Wissen und Werkzeuge für die Entwicklung intelligenterer und effizienterer Technologien auf Basis von MXenen. 
  • Metalloxide: Wie Lichtpulse Elektronen in Bewegung setzen
    Science Highlight
    08.09.2025
    Metalloxide: Wie Lichtpulse Elektronen in Bewegung setzen
    Metalloxide kommen in der Natur reichlich vor und spielen eine zentrale Rolle in Technologien wie der Photokatalyse und der Photovoltaik. In den meisten Metalloxiden ist jedoch aufgrund der starken Abstoßung zwischen Elektronen benachbarter Metallatome die elektrische Leitfähigkeit sehr gering. Ein Team am HZB hat nun zusammen mit Partnerinstitutionen gezeigt, dass Lichtimpulse diese Abstoßungskräfte vorübergehend schwächen können. Dadurch sinkt die Energie, die für die Elektronenbeweglichkeit erforderlich ist, so dass ein metallähnliches Verhalten entsteht. Diese Entdeckung bietet eine neue Möglichkeit, Materialeigenschaften mit Licht zu manipulieren, und birgt ein hohes Potenzial für effizientere lichtbasierte Bauelemente.