Öffnet in neuem Fenster Opens in a new window Öffnet externe Seite Opens an external site Öffnet externe Seite in neuem Fenster Opens an external site in a new window

Department Structure and Dynamics of Energy Materials

Neutron and synchrotron X-ray diffraction for PV materials investigations of structure-function relationships in energy conversion materials

Structure and Dynamics of Energy Materials: Methods and Concepts for Materials Development

The working group Structure and Dynamics of Energy Materials participates in the Helmholtz Research Program Energy Efficiency, Materials, and Ressources in the topic Methods and Concepts for Material Development. The focus is on investigations of structure-function relationships in photovoltaic materials by means of neutron and synchrotron X-ray diffraction as well as by further analytical techniques (laboratory X-ray diffraction, grazing incidence X-ray diffraction, electron microprobe ananlysis).

Laboratory for photovoltaic materials research: complex chalcogenide compounds
 

  • synthesis of powder reference samples of chalcogenide compound semiconductors by solid state reaction
  • synthesis of chalcogenide nanoparticles by chemical routes
  • chemical analysis of the synthesized material by WDX spectroscopy using an electron microprobe system (Freie Universitaet Berlin, Institute of Geological Sciences)
  • basic structural analysis of the synthesized materials by X-ray powder diffraction

enlarged view

Fig. 1: Materials Synthesis by solid state reaction: sealing of evacuated silica tubes (left), elements loaded into a graphite boat within a silica tube (middle), synthesis in a 1-zone furnace (right).


Microstructure of compound semiconductor thin films

  • investigation of depth dependent evolution of domain size and strain in polycrystalline chalcopyrite type and kesterite type thin films for PV applications by means of GIXRD (grazing incidence X-ray diffraction)

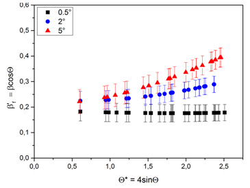
enlarged view

Fig. 2: Williamson-Hall-plot of a Cu(In,Ga)Se2 thin film grown by the 3-stage process



 

Complementary investigations of intrinsic point defects in compound semiconductors using neutron and synchrotron X-rays

  • determination of instrinsic point defect type and concentration in the chalcogenide compound semiconductors (reference material) as well as in real PV material (monograins) by neutron powder diffraction applying the method of average neutron scattering length analysis (ANSLA)
  • establishing correlation relations between point defect type/concentration and optoelectronic properties/device efficiency